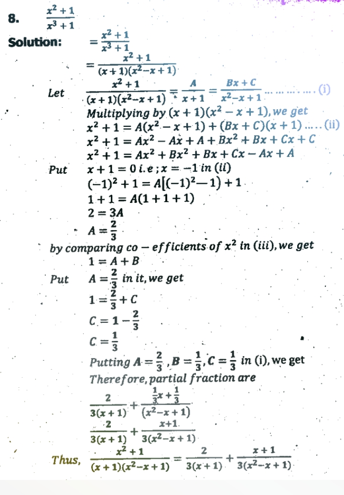
Home 4.3 exercise Math class 10 chapter 4 Exercise 4.3 Math class 10 chapter 4 Exercise 4.3 0 CHAPTER 4 - Exercise #4.3 Tags: 4.1 exercise4.2 exercise4.3 exercise Facebook Twitter Whatsapp Newer Older