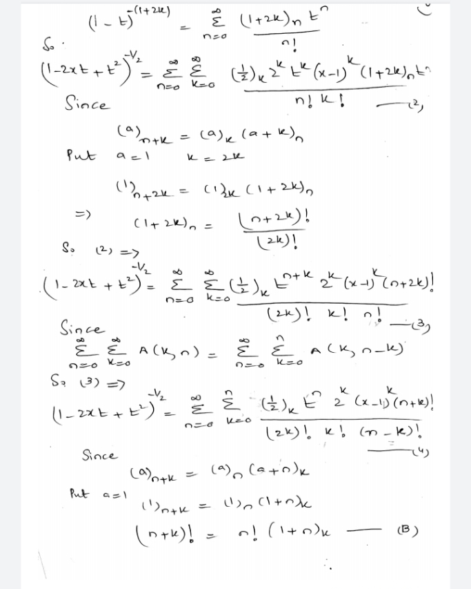
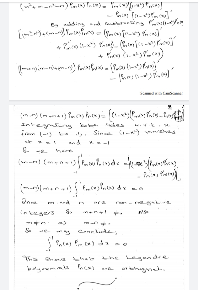
Legendre Polynomials chapter 6 - Msc

0

 Legendre Polynomials-Ch6

























Tags:

Post a Comment

0Comments

Please Select Embedded Mode To show the Comment System.*